|
碳纖維的線密度和拉伸性能的自動測試 |
|
|
返回 |
|
|
|
引自 |
Dr. Ulrich Mörschel,
Christine Faymonville,
Erich Ingelsberger
|
|
|
Textechno Herbert Stein
GmbH公司
|
|
|
|
|
摘要:
|
|
碳纖維的重要性在於做為對原絲的節省能源,輕合成物方面在當今很受歡迎。耐久性和牢固性也就是線密度和拉伸性能的自動測試變得尤為重要。由於碳纖維的特殊性能,單絲的自動操作看起來有難度。Textechno公司現在可以用他們的自動纖維測試系統FAVIMAT-ROBOT實現線密度和拉抻強度的自動測試。對紙片,粗紗的測試來說,這個方法有很大優點,結果會在幾分鐘而不是幾小時之後出來。 |
|
|
|
提綱:
|
|
1.
術語:纖維、長絲、絲束..............................................................
1 |
|
2.
碳纖維絲束的拉伸性能測試
...........................................................
2 |
|
3.
FAVIMAT測試儀器介紹.................................................................
2 |
|
4.
集成的音頻振動式線密度測試..........................................................
3 |
|
4.1
橫截面和斷裂強度的測定...........................................................
5 |
|
5.
FAVIMAT-ROBOT 2
和
–AIROBOT 2的自動操作.............................................5 |
|
6.
總結和展望..........................................................................
6 |
|
|
|
1.
術語:纖維、長絲、絲束
|
|
由於在材料學和化學纖維方面對術語的不同使用。在此闡述一下我們所講的碳纖維的概念很重要,碳纖維絲束是由幾千根甚至八萬根單絲組成的複絲。在材料學和一些應用學者認為這樣的絲束就是纖維。這裏所指的碳纖維是從以上所指的粗紗裏切下的一個獨立的細絲。圖1所示的是由12,000根細絲組成的碳纖維粗紗。右圖是從粗紗中剪下的一部分顯示了一束絲中每個單獨的絲 |
|
 |
|
圖
1:
碳纖維絲束.
右圖能夠辨識一些單獨的絲 |
|
|
|
碳纖維的線密度和拉伸性能的自動測試 |
|
|
|
2.
碳纖維粗紗的拉伸性能測試 |
|
原則上碳纖維絲束的檢測類似於低技術複紗。然而,碳纖維模量極高,各單絲張力間存在差異,且材料具有脆性,導致用這種方法測試的強度值大約僅為材料實際強度的一半或更少。施加少量撚度,例如20撚/m,能有助於各個單絲張力的平衡,從而得到更穩定和具有重現性的結果。Textechno公司的自動拉伸測試儀STATIMAT
4
和STATIMAT
4U能自動施加這樣的撚度,接著以全自動的方式進行拉伸性能測試。雖然超高分子量聚乙烯如Dyneema和Spectra或者芳族聚脂酸胺纖維按照這種方法測得的數值與材料的實際強度一致,但碳纖維測得的數值不超過實際強度的70%。用人工加撚的方法,用夾子仔細操作也不會超過這個範圍。 |
|
因此,碳纖維絲束通常在浸漬條件下,例如按照德DIN15382進行測試,絲束不得不被人工切割、斷面,紙片與粗紗複合以避免無故損壞(見以下圖示) |
|
 |
|
示圖
1
用以下來對碳纖維做拉伸測試 |
|
1:
兩端帽形雙紙片,
2/5:
浸漬的碳纖維絲束,
3:紙片板,4:
膠水 |
|
|
|
這個過程非常費時,測試前必須等樹脂完全固化,需要24小時。24小時的延遲對於生產控制實驗幾乎是不可接受的,尤其對於這樣有價值的產品。單纖維測試做為生產控制方法的最大優點是實驗室收到生產樣品後幾分鐘就可得到重要的結果,從而能夠及時採取糾正措施,例如在斷裂強度降低時可及時改正。此外單纖維測試還可提供絲束內線密度的分佈資訊或直徑和斷裂強度。這對於生產和稍後的絲束應用中充分分析問題具有重要意義。
|
|
3.FAVIMAT測試儀器的介紹 |
|
圖2為Textechno公司的FAVIMAT單纖維密度,捲曲度和拉伸性能的測試儀,這個設備有許多顯著特點,如下: |
|
- |
高解析度測力感測器 |
|
|
標準解析度為(0,1
mg),
根據用戶要求也可提供
0,1 µN (0,01 mg)
的解析度。 |
|
- |
高解析度牽拉機構
|
|
|
解析度為
0,1 µm |
|
- |
精確的在拉伸實驗區域進行集成的音頻振動式線密度測定
|
|
- |
自動測定機械捲曲性能 |
|
- |
自動測定幾何捲曲性能(可選) |
|
- |
可選的
ROBOT 2-
或
AIROBOT 2的自動測試設備最多可存儲可測試 |
|
|
500根纖維(見第5節) |
|
以上提到的特性使得FAVIMAT成為全世界最萬能的測試儀 |
|
|
|
碳纖維的線密度和拉伸性能的自動測試 |
|
 |
|
圖
2: Textechno公司的
FAVIMAT單纖維線密度,捲曲性和拉伸強度測試儀
|
|
4.
集成的音頻振動式線密度測試 |
|
集成的音頻振動式纖維線密度測試是在給定的測量長度L和壓力F下達到共振。這個振動能由例如電波或聲波完成操作。圖形2中的FAVIMAT的操作就是採用後者的原理 |
 |
|
|
|
示圖
2: Textechno公司FAVIMAT儀器的集成振動式線密度測試是在一個長度L和壓力F下做的纖維振動 |
|
|
|
這種方法是被標準化的,例如ISO
19732.
然而這個標準被冠以以下的許多限制 |
|
·
“在人造纖維和天然纖維中也能獲得有用資料,不過精密度較小” |
|
·
“注釋1
集成的單頻振動式測試不適用於空的和扁平的(類似帶子)類的纖維” |
|
·
“注釋3
對於高模量纖維(例如芳族聚酸胺纖維),集成的單頻振動式測試需經過專業人員對參數的修正,因為這種高強度的纖維會影響測試結果” |
| |
|
|
這些限制受到在振動頻率中纖維強度的影響,這也是許多年從所周知的,基於August
Seebeck的最早發現:楊氏係數對振動串的共振頻率的影響。D.
J. Montgomery5在1947年,D.
J. Montgomery5
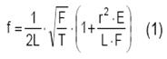
在1953年也報導了其對紡織纖維和細絲的影響。兩者有些不同,但類似的是,在其文獻中都發現了振動串公式,考慮到了不同的邊界條件,例如以下給到的纖維基本振動的共振頻率f的公式 |
|
|
|
碳纖維的線密度和拉伸性能的自動測試 |
 |
|
T =
線性密度 |
|
F =
壓力 |
|
L =
自然振盪長度 |
|
r =
纖維斷面的半徑 |
|
E =
楊氏係數 |
|
|
|
直到現在,集成的振動式測試儀器都沒有考慮到由纖維硬度而引起的第二個條件,或是使用校正要素以便於集成振動的結果與重量分析的結果78一致,又或者在ISO1973裏被提到集成振動的作用是不恰當的。以上的公式表明纖維強度的變化是隨著直徑而增加,隨著振盪長度和壓力而減少。這意味著只要振盪長度或壓力或兩者都夠高,在根據生產者推薦的集成振動進行測試時,等式中的強度可被忽略。因為所有的紡織纖維都有此性能。然而,假如強度不受共振頻率的影響,纖維橫截面也不彎化。那麼ISO1973中的限制就是無效的。同時強度條件也可被證明是可忽視的。
實際上,很容易能測定纖維強度是否有影響,也可以很肯定的測定到在給定的測量長度及不同的負荷下的纖維線密度。假如線密度隨著壓力的增長而增長,加上來自纖維強度的影響,測量長度和/或壓力肯定也是在增長,直到測量的線密度不再增長為止。在這一點上,指出FAVIMAT儀器在當今的集成的音頻振動式測試上有很強的優勢,因為與這些設備相比,FAVIMAT能夠在不同的長度下進行集成的振動式測試。如果在20mm下,隨著預張力的漸增,不可能讀到穩定的讀數,FAVIMAT儀器可以增加測量長度。這些就意味著相關硬纖維的線密度測試將會達到300分特克斯。
由於FAVIMAT儀器的特別設計,它提供了額外的可能性,就象依靠在幾個單獨的預張力和外推力的重複測試下,橫截面的纖維彎曲係數測定也是可能的。 |
|
 |
|
圖示
3:在典型的碳纖維線密度測試中預張力的影響
|
|
碳纖維的線密度和拉伸性能的自動測試 |
|
|
|
4.1橫截面和斷裂強度的測定
|
|
材料學家一般都致力於斷裂強度,例如N/mm²
或
MPa,
而不是堅韌度。因此需要測定樣品的橫截面,橫截面也是很容易被測定的。舉例來說,對於一個圓形橫截面進行鐳射掃描,它會形成許多複雜的橢圓或帶形的纖維。而對於凹形的橫截面象三葉形,腎形或空的纖維是不可能的。 |
|
 |
|
圖
3:
只要原料的密度可知,空的纖維的橫截面可根據集成的音頻振動式方法測量
|
|
|
|
橫截面的測定用肉眼或電子顯微鏡觀看的方法當然是可行的,但是非常費時。集成的音頻振動式線密度測定可以解決這一點。下面的等式顯示了橫截面A和線密度T之間的關係。 |
 |
|
ρ為材料密度,FAVIMAT軟體可以直接測定橫截面,在軟體中輸入樣品的密度即可得出系數值MPa
or GPa
|
|
5. FAVIMAT-ROBOT 2和-AIROBOT
2的自動化 |
|
為了提高測試效率,可以用在第二節所講的Textechno公司的
ROBOT 2-
或
AIROBOT 2系統使FAVIMAT測試設備自動化。第一代ROBOT系統於1995年開始投放市場,但到2007年底,碳纖維自動化測試試驗的成功率僅為50%,纖維的脆性和不可視性(只有5-10µm的直徑)是兩個主要問題。安裝如圖4所示的特殊照明系統,並對ROBOT
2
改進後,成功率基本上可達到100%。 |
|
Textechno公司提供的兩種類型的自動化系統:
ROBOT 2
是用懸掛的預張力負荷使纖維夾入試樣夾,如果碳纖維預張力負荷在30-50
mg的,範圍內則顯示最好的結果,至多20個試樣盒,每個試樣盒25個位置,也就是可以把500根纖維夾入ROBOT系統。傳輸杆用懸掛的預張力負荷從試驗盒撿起纖維,並把纖維傳輸 |
|
碳纖維的線密度和拉伸性能的自動測試 |
|
到測試區,以全自動的方式進行線密度和拉伸性能的全自動測試。這個程式有個很好的優點就是儘管纖維幾乎看不見,但“浮置”預張張負荷能指出纖維的存在和位置。 |
|
|
|
圖
4: FAVIMAT的測試區
無橫向照明(左)
有橫向照明(右)有照明的碳纖維測試就成為可視的了
|
|
|
|
單纖維測試的最新發展是AIROBOT
2系統,其可在沒有任何預張力負荷的情況下處理纖維。在纖維夾入試樣盒時,纖維被吸進圓管,在無張力下儲存于圓管中,直到傳輸夾取出纖維進行測試。AIROBOT
2系統可以存放20個試樣盒,每個試樣盒25根纖維。圖5即為AIROBOT
2系統,此系統可以在3分鐘內用預張力負荷把纖維轉移至ROBOT
2上。
AIRRBOT 2也能以大約90%的成功率處理碳纖維。利用最新的改進,兩種自動化系統能自動測試各種化學纖維和天然纖維。
|
|
6.
總結和展望 |
|
自動單纖維線密度測試用Textechno公司的FAVIMAT-ROBOT
2
和-AIROBOT
2可進行至多500根碳纖維的測試。該儀器可以測定線密度和拉伸性能包括模量和強度。如果己知材料密度,可以求出橫截面和斷裂應力。與浸漬粗紗進行比較,它能更快地獲得結果。一個熟練的操作人員,測試20根纖維的試樣所需工作時間約為3分鐘,大約10分鐘後可以得到結果。原絲的測試還可包括捲曲性和彈性以及預氧化中間產品的測試。共振頻率資料的進一步分析可以測定纖維的彎曲度及強度。 |
|
|
|
碳纖維的線密度和拉伸性能的自動測試 |
|
 |
|
圖5:
FAVIMAT-AIROBOT 2
|
|
|
|
參考文獻:
|
|
|
1 DIN 65382, "Aerospace;
Reinforcement fibres for
plastics; Tensile test
of impregnated yarn test
specimens |
|
2 ISO 1973, “Textile
fibres – Determination
of linear density –
Gravimetric method and
vibroscope method”, 1995
|
|
3 August Seebeck,
Abhandlungen der
Mathematisch-Physischen
Classe der
Königlich-Sächsischen
Gesellschaft der
Wissenschaften, Leipzig,
1852. |
|
4 V. E. Gonsalves,
“Determination of Denier
and Strength of Single
Filaments by Vibroscope
and Heim Tensile
Tester”, Textile
Research Journal, Volume
17, July 1947. |
|
5 D. J. Montgomery
“Effect of Stiffness and
Nonuniformity on
Vibroscopic
Determination of
Filament Cross-Sectional
Area”, Journal of
applied Physics, Volume
24, No. 9, September
1953. |
|
6 DIN 53812, part 2:
“Testing of textiles,
determination of the
fineness of fibres,
vibration method” |
|
7 ASTM D 1577 – 96,
“Standard Test Methods
for Linear Density of
Textile Fibers”, Chapter
26.1. |
|
8 BISFA “Internationally
agreed methods for
testing polyester staple
fibres”, 1985, Chapter F
4.1. |
|
|
|
本文被節錄刊載在國際紡織導報2009年第5期 |